繁體
  • 简体中文
  • 繁體中文

熱門資訊> 正文

微巴士,來自浙江杭州,在美國SEC遞交招股書,擬納斯達克IPO上市

2023-02-11 13:30

2023年2月10日,來自浙江杭州的浙江優巴科技有限公司的實質控股股東WEBUS INTERNATIONAL LIMITED(以下簡稱「微巴士」)在美國證監會(SEC)公開披露招股書,股票代碼WETO,擬在美國納斯達克IPO上市。其與2022年9月23日在美國SEC祕密遞表。 

微巴士招股書鏈接:

https://www.sec.gov/Archives/edgar/data/1941158/000157587223000244/vc013_f1.htm

主要業務

微巴士,正在打造全球一站式定製包車行業全流程服務平臺,希望通過公司的全球平臺(由大數據和高級算法提供支持的)提供定製的通勤、公共汽車和汽車租賃以及旅遊服務,從而使出行變得更輕松、更智能。此外,微巴士旗下全新旅遊子品牌Wetour是在線定製旅行預訂服務平臺,為用户提供全球中文包車預訂以及精品定製旅遊服務。

根據弗若斯特沙利文報告,以2022 年上半年的收入計,微巴士在中國頂級在線團體出行服務平臺中排名第二。

微巴士,主要為客户提供通勤班車服務、定製包車服務、包價旅遊服務和其他服務。微巴士,以「移動即服務」(「MaaS」)的商業模式運營數字平臺,以識別和解決公共交通相關的低效問題,並通過公司的服務在不同場景下提供具有成本效益和定製化的公共交通服務。

微巴士的在線渠道包括APP、官方網站、微信和支付寶小程序,對接國內三大在線旅行社平臺攜程、飛豬、同程,並與小紅書建立了認證合作伙伴關係。微巴士的線下渠道包括與浙江省50多個市縣的業務戰略合作、旅行社、在線巴士預訂平臺gotobus,以及在在杭州高鐵站、機場等交通站點設立服務檯。微巴士在中國擁有超過11,000輛可調度車輛,在境外,約有8,000 名司機提供包車服務。

股東架構

招股書顯示,微巴士在上市前的股權架構中,鄭家華 Zheng Jiahua,通過Micava Co., Ltd.持有40.76%;鄭楠 Zheng Nan,通過Annan Tech Co., Ltd.持有40.74%。

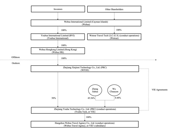
公司架構

招股書顯示,微巴士的公司架構如下:

管理層

招股書顯示,微巴士的管理層如下:

鄭加華 Zheng Jiahua, Chairman of the Board of the Directors of the Company (the 「Board」)

Mr. Zheng Jiahua has been the chairman of the Board since Webus inception. He is the founder of the VIE and its subsidiary. Prior to founding the VIE, between 2011 and 2018, Mr. Zheng was the chairman of the board of Huzhou Xinhanrui Real Estate Co., Ltd., a company engages in real estate investment, where he was in charge of the company’s development strategies. Mr. Zheng has over 30 years of business experience with extensive resources both locally and regionally. He is particularly well versed in business strategies, corporate and government relations and crisis management. Mr. Zheng received his high school diploma from Yuhuang Huanghu High School in 1991. Mr. Zheng Jiahua is the father of our CEO Mr. Zheng Nan.

鄭楠 Zheng Nan, Chief Executive Officer and Director Nominee

Mr. Zheng Nan has been the CEO of Webus since February 2023.He accepted the appointment as the director of Webus effective upon the effective date of the registration statement. Mr. Zheng has been the CEO of the VIE since January 2021 and is responsible for the VIE’s operation, product offerings and management. From June 2019 to March 2020, Mr. Zheng was the Chief Operating Officer of Uway Inc., a college student career service platform he founded in June 2019 when he was about to start college. Uway Inc. built the 「Linker」 platform to provide flexible employment information for students on campus. Mr. Zheng completed his middle school in China and received his high school diploma in the United States. He is a senior student at Babson College in Wellesley, Massachusetts. His education in the United States, entrepreneur endeavor and extensive global traveling experience enable him an in-depth understanding of packaged tour service and customized chartered bus service. Mr. Zheng Nan is the son of our Chairman Mr. Zheng Jiahua.

王世傑 Wang Shijie, Chief Financial Officer

Mr. Wang Shijie has been the CFO of Webus since February 2023. Mr. Wang has been the Chief Financial Officer of the VIE since September 2022. Mr. Wang has 8 years of accounting management and financial reporting experience. From April 2018 to August 2021, Mr. Wang was the Financial Manager and Operation Platform Manager of Hangzhou Liyixiang Digital Technology Co. Ltd., a digital technology company, where he was in charge of the company’s accounting management, financial reporting and general management of the platform’s operation. From January 2014 to April 2018, he was the Division Chief of General Management Division under the Financial Department at Zhongyuan University of Technology where he was responsible for the university’s accounting management and financial reporting. Mr. Wang received his Master’s degree in business administration from Zhongyuan University of Technology and Bachelor’s degree in auditing from Zhengzhou University. He holds a Certificate of Intermediate Accountant.

吳春雲 Wu Chunyun, General Manager of Youba Tech

Mr. Wu Chunyun has been appointed as the General Manager of the VIE in August 2019 and is responsible for the company’s day-to-day operation and technology innovation. From July 2017 to August 2019, Mr. Wu served as CEO of Zhejiang Yinuo Technologies Co., Ltd., a one-stop chartered bus service provider. He oversaw the company’s product design and strategic development. Mr. Wu started his career at Alcatel-Lucent (formerly known as Lucent Technologies) and has extensive experience in digitalization and developing SaaS++ platforms. Mr. Wu received his bachelor’s degree in Radio Engineering and Wireless Communication from the Beijing University of Posts and Telecommunications in July 1996.

 

陳釔舟 Chen Yizhou, Co-Chief Operating Officer

Mr. Chen Yizhou has been the Co-COO of Webus since Febuary 2023. Mr. Chen has been the co-COO of the VIE since November 2020. From March 2016 to March 2020, Mr. Chen was the project manager and regional business manager of Zhejiang Hengsheng Changyun Technology Co., Ltd., an online transportation platform, where he was responsible for the company’s passenger transportation business. From July 2009 to March 2016, Mr. Chen was the Division Chief of Marketing Department of gotobus.com’s China Region. Gotobus.com is an online inter-city bus ticket booking platform serving the United States, Mexico, Canada and Europe. Mr. Chen received his bachelor’s degree in accounting from Dongguk University in the Republic of Korea. Mr. Chen has over 15 years of experience in bus transportation industry and has great resources in CMS and tourism industry.

 

He Wenxin, Co-Chief Operating Officer

Mr. He Wenxin has been the Co-COO of webus since February 2023. Mr. He has been the co-COO of the VIE since June 2021. From September 2017 to August 2020, he was the general manager and sales manager of Hangzhou office of Shenzhen Kuaibangxing Technology Co., Ltd. The company is headquartered in Seattle, Washington with offices in Beijing and Hangzhou, offering SaaS ++ platform to small and medium sized travel agencies. Mr. He received his bachelor’s degree in international trade from Zhejiang Sci-Tech University Science and Art College.

公司業績

招股書顯示,在過去的2021財年、2022財年(財政年度結算日期為每年6月30日)和2023財年前六個月,微巴士的收入分別為0.1065億、1.2995億、0.9372億元人民幣,相應的淨虧損分別為782.37萬、658.22萬、306.16萬元人民幣。

中介機構

微巴士是次IPO的的中介團隊主要有:磊拓金融證券為其承銷商;Marcum Asia CPAs LLP為其審計師;錦天城、VCL Law LLP分別為其公司中國律師、公司美國律師;盈科(杭州)、樂博分別為其承銷商中國律師、承銷商美國律師。

風險及免責提示:以上內容僅代表作者的個人立場和觀點,不代表華盛的任何立場,華盛亦無法證實上述內容的真實性、準確性和原創性。投資者在做出任何投資決定前,應結合自身情況,考慮投資產品的風險。必要時,請諮詢專業投資顧問的意見。華盛不提供任何投資建議,對此亦不做任何承諾和保證。