简体
  • 简体中文
  • 繁体中文

热门资讯> 正文

国盛策略:三大视角看美国经济衰退风险

2022-04-21 12:28

作者:国盛宏观熊园、刘新宇

近期,10Y-2Y美债利差出现倒挂,引发市场对美国经济衰退的担忧有所加剧。本文从期限利差、债务风险、经济动能三大视角,结合历史经验和当前情况,对美国经济衰退风险进行详细分析,并进一步分析经济衰退对美联储加息和大类资产的影响。

核心结论:

1.美国衰退风险判断:从期限利差、债务风险、经济动能三大视角综合来看,美国经济最早可能在2023年底或2024年初发生衰退。在此之前,美国经济放缓程度将持续加剧。

2.衰退风险对美联储加息的影响:若美联储按照目前市场预期的节奏进行加息,即年内加息超过200bp,则可能在2023年初停止加息。但我们更倾向于认为,随着美国经济放缓和通胀回落,美联储后续加息节奏大概率放缓,相应地停止加息时间也会延后。

3.美国衰退对大类资产的影响:历史经验显示,美股大多在衰退前1-3个月开始下跌,衰退后会继续下跌1-3个月,再之后的表现取决于衰退的严重程度。美债收益率在衰退前表现不一,衰退后1-2个月由于流动性紧张而快速走高,随后由于货币宽松重新回落,中长期走势取决于衰退的严重程度。美元指数在衰退后4-6个月大多下跌,6个月后大多上涨。黄金价格在衰退后大多短期上涨、中长期下跌,时间规律不明显。

正文如下:

一、期限利差视角

1.期限利差预测经济衰退的原理

美债期限利差可以反映市场对美国经济前景的预期状况,期限利差倒挂往往预示着经济衰退,这一现象可以从两个维度来理解:

1)短端国债利率基本和政策利率完全挂钩,而长端国债利率除受货币政策影响外,还会受经济预期影响。即可以近似视作:短端利率=货币政策利率,长端利率=货币政策利率+经济预期。因此长短端国债利差,就剔除了货币政策的影响,只反映了经济预期。从数据上看,美债期限利差走势领先美国制造业PMI,也反映了这一点。

 

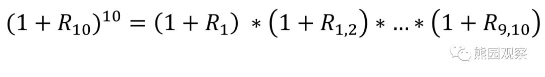
2)长端国债利率可以视作短端利率与一系列远期利率的合成值,以10年期国债收益率为例,其用公式表示如下:

上式中,R10代表10Y美债收益率,R1代表1Y美债收益率,R1,2代表从第一年末到第二年末的1Y远期利率,后续以此类推。

根据这一公式,当期限利差发生倒挂时,意味着远期利率将低于即期利率,反映出市场预期未来将会降息,即经济可能发生衰退。

但需注意的是,如我们在前期报告《8图看清10Y-2Y美债收益率倒挂的表与里》中指出的那样,期限利差本质是市场预期的结果,而非经济衰退的原因。

2.不同期限利差与经济衰退的领先关系

在预测经济衰退风险时,最常使用的期限利差主要有三个,分别是10Y-3M、10Y-1Y、10Y-2Y,三者的差异在于减去的期限不同。根据前文的远期利率公式,期限越长的债券隐含越久的政策利率预期,可以近似理解为:3M债券只隐含了3个月以内的政策利率变化,1Y和2Y则分别隐含了近1年和近2年。

从数据上看,当美联储开始加息前,2Y美债收益率往往领先于3M开始上行,并且上行幅度通常更大。因此,10Y-2Y利差往往领先于10Y-3M利差开始收窄乃至倒挂。特别是在加息开始之初时,若市场对未来持续快速加息的预期较强,10Y-2Y利差往往快速收窄,但10Y-3M利差反而维持高位或继续走阔,二者的背离正是由于短端利率所反映的时间跨度不同,而这也是当前正面临的状况。

根据美国国家经济研究局(NBER)的划分,1980年以来的美国共发生了6次经济衰退,回溯历史可以发现,期限利差倒挂通常领先经济衰退1-3年,平均领先19个月。同时,10Y-2Y利差领先时间最长,10Y-1Y次之,10Y-3M领先时间最短。唯一的例外是在2019年,当时10Y-3M和10Y-1Y利差倒挂领先衰退12个月,但10Y-2Y利差倒挂仅领先6个月,主要原因是在中美贸易摩擦加剧的背景下,美联储在2019年8月开始降息,市场预期未来还会持续降息,因此2Y美债收益率下行幅度明显超出3M和1Y美债,导致10Y-2Y利差较晚出现倒挂。此外,历史上从未出现过10Y-2Y倒挂、但10Y-3M和10Y-1Y始终未倒挂或经济未发生衰退的情况。由此可见,10Y-2Y利差倒挂往往具有更强的指示意义,更应重点关注。

3.当前期限利差所反映的经济衰退信号

自去年底以来,随着美联储加息预期持续升温,美债10Y-2Y、10Y-1Y利差均持续收窄。4月1日至4月4日,10Y-2Y美债利差在4/1-4/4出现连续4天的倒挂,随后回正,但目前仅30bp左右;10Y-1Y利差已收窄至不足100bp,10Y-3M利差目前仍在走阔。

往后看,一方面,前期报告中我们曾多次指出,5月之后伴随美国通胀回落、经济放缓,10Y美债收益率大概率重新下行,预计将从目前的2.8%左右回落至年底的2%或更低;另一方面,目前利率期货隐含的全年加息次数已接近10次(每次25bp),即年底时联邦基金利率将达到2.25%左右,从而3M和1Y美债收益率也将升至这一水平附近。因此,若美联储按照目前市场预期的节奏加息,则下半年10Y-3M、10Y-1Y美债利差也大概率双双倒挂,10Y-2Y利差可能进入持续倒挂区间。

基于历史上期限利差倒挂与经济衰退的领先规律,美国经济最快将在2023年底陷入衰退,2024年衰退概率则将明显提升。此外需注意的是,经济衰退是特指非常严重的经济放缓,根据期限利差所反映的情况,即便不发生严格意义上的衰退,美国经济放缓程度也将十分显著。

二、债务风险视角

1.美国居民债务状况

在前期报告《2020年美国经济展望:日薄西山》中我们曾经指出,美国历次经济危机的本质都是债务危机。具体来看,当经济向好时,居民和企业会持续加杠杆,导致债务压力持续加剧;当债务压力高到一定程度时,叠加流动性收紧,往往爆发大规模债务违约,进而使经济陷入衰退。其中,企业债务往往是主导性因素,居民债务更多决定了经济衰退的严重程度。因此,要判断经济是否有衰退风险,核心是看居民和企业债务压力状况。若居民和企业债务压力均处在高位,则货币政策收紧过快容易导致严重衰退,例如2008年金融危机;若居民和企业债务压力均处在低位,则发生衰退的概率较低;若企业债务压力高企、但居民债务压力较轻,则经济更有可能发生不太严重的衰退,例如2001年互联网泡沫危机。

截至2021年底,从资产负债率、债务收入比、偿债比率来看,当前美国居民部门债务压力整体较轻,甚至低于疫情之前。与之相对地,居民贷款违约率持续下降至历史低位。这背后的原因主要有三点:

1)疫情后美国政府实施了大规模财政刺激,其中包括大额的失业补贴和现金发放,导致居民收入相较疫情前不降反升;

2)美联储史无前例的货币宽松,带动美股和房价大幅上涨,居民财富增值显著,同时也带动贷款利率大幅下行,房贷等浮息债务的付息成本减轻;

3)劳动力短缺和通胀上升,导致就业者工资增速维持高位,而存量债务不会因通胀上升而增加,从而还款压力进一步减轻。

整体来看,当前美国居民债务压力较轻,伴随就业向好和资产增值,后续有望维持良性状态。这意味着居民债务至少不会成为美国经济衰退的触发因素,并且即使美国经济发生衰退,也不会像2008年金融危机一样严重。

2.美国企业债务状况

疫情爆发后,美国政府对受影响企业推出了大规模援助贷款计划,其中大部分无需偿还,导致美国企业贷款规模先是快速跳升,随后快速回落。在援助贷款的支撑下,美国企业贷款坏账率、企业债违约规模并未出现大幅攀升,规模以上企业破产数量仅在疫情爆发之初有过短暂抬升,随后便快速回落至低位。整体来看,美国政府的救助措施完全抑制住了企业债务危机的爆发,这与历史上的经济危机时期截然不同,因此本轮经济复苏也不是内生性的复苏。

政府的援助措施,本质上是债务展期,并未从根本上减轻企业债务压力。截至2022Q1,标普非金融指数的资产负债率虽有所下降,但仅与疫情前的水平相当,仍处在2003年以来的最高水平;债务/EBITDA则大幅下降并低于疫情前,主因消费需求旺盛带动企业盈利大幅增长。此外,截至2021Q3,BIS统计的非金融企业偿债比率仍略高于疫情之前,并明显高于趋势线水平。综合看,当前美国非金融企业存量债务规模依然高企,但由于盈利大幅修复,短期内发生大规模债务违约的风险较低。

 

 

3.后续债务压力展望

从负债结构来看,美国非金融企业负债中,债券占比接近70%,绝大部分是投资级债券,平均久期约为8-9年;银行贷款占比仅有19%,其中80%是短期贷款。家庭负债基本都是银行贷款,其中住房贷款占比达到68%。整体来看,美国不论企业还是家庭部门,负债中的三分之二以上都是长期债务。此外,企业债务基本依赖滚动续作,这意味着融资成本抬升对企业债务压力的影响要明显大于居民债务。

由于期限特性,短期债务成本主要受政策利率影响,长期债务成本主要受长端债券收益率影响。例如,2年期个人贷款利率和1-3年期企业债收益率与联邦基金利率走势基本一致,而住房贷款利率和整体企业债收益率与10Y美债收益率走势基本一致。但需注意的是,无论长期还是短期,居民债务成本与对应期限无风险利率的相关性明显强于企业债券,原因一方面是由于居民债务违约风险相对更低,另一方面则是银行贷款利率相较企业债收益率更为稳定。

根据前面的分析,中长期来看,虽然美联储持续加息,但随着美国经济放缓、通胀回落,长端美债收益率更可能下行,因此房贷利率也大概率随之下行,这意味着居民债务压力整体不会明显加剧。但由于经济预期变差以及流动性收紧,信用利差走阔将带动企业债收益率持续上行,叠加盈利增长放缓,企业债务压力将持续加剧。

三、经济动能视角

1.美国私人消费景气分析

美国私人消费占GDP的比重达70%,是美国经济最重要的支撑项。私人消费中,商品消费占比约为40%,服务消费占比约为60%。疫情爆发以来,由于美国政府的大规模财政补贴,商品消费增速大幅抬升,但服务消费受疫情影响修复缓慢。截至2月,若以两年复合增速来看,实际商品消费增速为7.7%,仍大幅高于疫情前的4%左右,但自2021Q2以来已开始出现趋势性放缓;实际服务消费增速仅有-0.1%,大幅低于疫情前的2%左右,且回升速度十分缓慢;整体实际消费增速自2021年初以来稳定在2%-3%,与疫情前的水平相当。

判断美国消费景气,可以从消费能力和消费意愿两方面入手,其中消费能力主要取决于收入水平,消费意愿可以用消费占收入的比重来衡量。截至2月,由于财政补贴退出、通胀上升等因素,美国个人实际可支配收入已明显回落,目前大致处在趋势线对应的水平;但实际消费占实际收入的比重仍在大幅抬升,已明显高于疫情前,并且是2008年之后的最高水平,反映出消费意愿较强是目前私人消费的核心支撑。

 

往后看:

>消费能力方面,由于财政补贴已经停止,未来个人收入主要取决于薪资增长。历史数据显示,美国薪资增速与失业率高度负相关,即只有当失业率持续下降时,薪资增速才会持续抬升。目前美国失业率已降至3.6%的历史低位,进一步下降的空间十分有限,这意味着薪资增速至少不会进一步大幅抬升,更有可能回归正常的温和增长速度,从而消费能力很难明显加强。

>消费意愿方面,前文提到,当前美国居民实际消费占实际收入的比重已升至历史高位,这意味着进一步抬升的空间十分有限。消费意愿通常取决于消费者对未来收入的乐观程度,纽约联储调查显示,年初以来消费者对未来收入增长的预期已出现连续大幅下滑,这意味着消费意愿大概率会走弱。此外,由于美国居民采取贷款消费的模式,而美联储加息会导致消费贷款利率明显抬升,也会抑制消费意愿。历史数据显示,美联储启动加息之后,消费增速通常会持续回落。

综上分析,由于美国居民消费能力难明显改善,同时消费意愿趋于走弱,整体消费景气可能已过了最强的阶段,中长期来看,美国消费增速将趋于放缓。

2.美国私人投资景气分析

美国私人投资占GDP的比重约为19%,虽然绝对占比不高,但由于投资的波动率明显大于消费,因此对经济的影响程度并不比消费低太多。美国私人投资可以划分为非住宅投资、住宅投资、存货变化三大类,其中非住宅投资包括建筑、设备、知识产权,详细占比见图表29。由于非住宅投资占整体私人投资的比重接近80%,整体私人投资增速与非住宅投资增速走势几乎完全一致,而与住宅投资增速经常出现背离。

判断非住宅投资景气度,同样可以从投资能力和投资意愿两方面看,其中投资能力主要取决于企业债务状况,投资意愿主要取决于企业盈利预期。数据显示,非金融企业资产负债率与投资增速整体负相关,当资产负债率处在高位时,会制约投资增速的上升空间。此外,非金融企业税前收入同比增速与投资增速走势基本一致。

往后看:

>投资能力方面,根据前文分析,当前美国企业债务压力依然较大,且随着融资环境收紧,后续债务压力将进一步加剧,这将制约企业扩大资本开支的能力。

>投资意愿方面,若以两年复合增速来看,当前美国制造业新订单增速仍在上行,意味着短期内企业盈利仍将保持高位。但中长期看,随着消费景气触顶回落,企业盈利增速大概率趋于放缓。美国各类调查指标显示,企业对未来销售增长的预期自2021年下半年以来开始持续下滑,也从侧面印证了这一点。

综合看,美国非住宅投资增速短期内仍趋上行,但由于债务压力加剧和销售预期下滑的制约,投资扩张的空间可能有限,并且中长期将趋于回落。

住宅投资主要取决于住宅销售状况,而住宅销售主要取决于房贷利率水平。数据上看,美国新屋销售增速领先住宅投资增速半年左右,而新屋销售增速与房贷利率高度负相关。短期看,由于长端美债收益率大幅走高,房贷利率也随之大幅攀升,住宅销售和投资仍将受到抑制。中长期看,由于长端美债收益率大概率重新下行,将带动房贷利率走低,从而住宅销售和住宅投资将受到支撑。但由于住宅投资在整体私人投资中的占比较低,难以扭转整体投资增速下行的趋势。

综上分析,由于消费和投资景气均趋走弱,美国经济仍将延续放缓趋势。在此背景下,若美联储加息节奏过快,经济放缓速度也会随之加快,将为衰退埋下伏笔。

3.经济景气指标历史规律

各类景气指标是判断经济前景的重要依据,美国最核心的景气指标主要有3个,分别是制造业PMI、服务业PMI、综合领先指标(CLI)。我们通过对过去6次经济衰退的梳理,发现平均来看,制造业PMI跌破48%、服务业PMI跌破54%、CLI跌破99.5,往往是经济衰退爆发的征兆。

根据三个指标当前的表现进行线性外推,制造业PMI预示25个月后发生衰退,服务业PMI预示21个月后发生衰退,CLI预示16个月发生衰退,平均值约为20个月,这与期限利差所反映的时间信号基本一致。但由于景气指标本身波动较大,基本不会匀速下行,且过去半年的数据很大程度上受到疫情反复的影响,因此线性外推的结果难以保证准确,仅可以作为大致参考。

综合考虑期限利差、债务风险、经济动能三大视角所反映的信号,美国经济最快可能在2023年底或2024年初发生衰退,在此之前,经济放缓程度将持续加剧。

四、美国经济衰退的影响

1.对美联储加息的影响

1990年后的四轮周期中,美联储通常在衰退前的11-18个月停止加息,领先时间较长。但1980年代的2次衰退时期,美联储停止加息的时间较晚,甚至在衰退发生后才停止加息,主因当时石油危机引发的通胀压力高企。

具体到本轮,当前美国通胀压力明显大于1990年以来的四轮加息周期,但要小于1980年代,因此我们认为这一次美联储停止加息的时间不会太早或太晚,更有可能介于1980年和1990年以后的情况之间,即可能在经济衰退前1年或更短的时间停止加息。因此,若美国经济在2023年底或2024年初发生衰退,则美联储可能在2023年初停止加息。

在前期报告《美联储加息:历史对比、未来推演、市场影响》中我们曾指出,历史上看,当美国制造业PMI跌破55%时,美联储通常会停止加息甚至开始降息,按当前水平线性外推,制造业PMI跌破55%大约对应2022年底或2023年初。此外,本轮加息开始前,美债期限利差与1990年加息前高度接近,而1999年的加息周期中美联储共加息6次、累计175bp(包括一次50bp)、持续11个月,本轮情况可能也较为类似。综合看,经济衰退、制造业PMI、期限利差所反映的信号基本接近。

综合考虑以上因素,若美联储按照目前市场预期的节奏进行加息,即年内加息超过200bp,则可能在2023年初停止加息。但我们更倾向于认为,随着美国经济放缓和通胀回落,美联储后续加息节奏更有可能放缓,相应地停止加息时间也会延后。

2.对大类资产的影响

在分析经济衰退对大类资产影响时,需考虑到每一轮衰退的持续时间、严重程度等方面存在较大差异,因此不能简单参照历史规律。图表42中,我们梳理了1980年以来美国6次经济衰退的时间和表现,从中可以看出,2020年的衰退持续时间最短,但衰退程度最严重;2008年和1981年经济衰退的时间和程度均较为严重;2001年衰退时间较短、衰退程度最轻。

我们梳理了1980年以来美国6次衰退时期的大类资产表现,包括美股、美债、美元、黄金,观察区间为衰退开始的前后各一年,结果如下:

(1)美股:大盘表现方面,大多数情况下,美股会在衰退开始前的1-3个月开始下跌,衰退开始后会继续下跌1-3个月,再之后的表现取决于衰退的严重程度。例如,1981和2008年的衰退程度最为严重,美股在衰退后一年内整体延续下跌趋势,2001年则由于股票估值过高,美股在较长时间内表现不佳;但其他几轮中,美股基本在衰退开始3个月之后重新上涨。美股风格方面,大多数情况下,纳斯达克指数会在衰退开始后的2-3个月内跑输标普500,但3个月之后大多持续跑赢,原因在于美联储货币宽松更利好成长股,同时经济较差更利空周期股。

(2)美债:历次衰退开始前,10Y美债收益率走势无一致规律,原因在于经济放缓程度和通胀表现不同,同时美联储停止加息或开始降息的领先时间也不同。衰退开始后,10Y美债收益率大多会在1-2个月内明显走高,原因在于债务违约和资产价格下跌引发的流动性紧张。衰退开始2个月以后,随着美联储实施货币宽松,10Y美债收益率大多快速回落,但中长期走势表现不一,取决于经济衰退的严重程度和美联储货币政策。

(3)美元:历次衰退开始前,美元指数走势无一致规律。衰退开始后,美元指数大多在4-6个月内表现为下跌,6个月之后大多重新上涨。这一表现背后的逻辑在于,美国作为全球最大的消费国,其经济表现通常领先全球经济表现,因此美国的衰退和复苏也通常领先于其他国家。

(4)黄金:历次衰退开始前,黄金走势无一致规律。衰退开始后,黄金大多表现为短期上涨、中长期下跌,时间规律不明显。值得注意的是,1980年衰退开始后,黄金价格持续大幅走低,原因在于当时恰逢美国通胀拐点,美国CPI同比从1980年3月的最高点14.8%持续回落至1986年底的最低点1.1%,带动实际利率大幅走高,黄金因此下跌。

风险提示:

1.地缘冲突超预期。若俄乌等地缘冲突超预期缓和或恶化,将对经济产生较大影响,可能导致美国经济衰退的时间与预期存在较大偏差。

2.美联储货币政策超预期。若美联储货币政策收紧力度高于预期或低于预期,将导致美国经济受影响程度不同,发生衰退的时间也不同。

3.美国财政政策超预期。若拜登政府成功推出新一轮财政刺激政策,则将对美国经济形成提振,衰退发生的时间也将有所延后。

风险及免责提示:以上内容仅代表作者的个人立场和观点,不代表华盛的任何立场,华盛亦无法证实上述内容的真实性、准确性和原创性。投资者在做出任何投资决定前,应结合自身情况,考虑投资产品的风险。必要时,请咨询专业投资顾问的意见。华盛不提供任何投资建议,对此亦不做任何承诺和保证。

风险及免责提示:以上内容仅代表作者的个人立场和观点,不代表华盛的任何立场,华盛亦无法证实上述内容的真实性、准确性和原创性。投资者在做出任何投资决定前,应结合自身情况,考虑投资产品的风险。必要时,请咨询专业投资顾问的意见。华盛不提供任何投资建议,对此亦不做任何承诺和保证。