简体
  • 简体中文
  • 繁体中文

热门资讯> 正文

现金流折现案例:巴菲特请来的可口可乐,估值怎么算出来的?

2022-01-16 13:13

近日持续回调后,新能源赛道迎来利好。乘联会最新发布数据显示,2022新能源车补贴规模上限没有锁定,补贴将贯穿2022年,预计2022年新能源乘用车渗透率将达到25%左右。可是,市场也有很多声音仍然担心新能源板块的高估值问题。

有人说:巴菲特经常说,他买股票是对公司估值,也就是对未来的现金流进行折现,而且他也是买了比亚迪的新能源股票,我一直不太明白,能否简单明了,甚至举些小例子来解释和说明“如何用现金流折现估值”呢?

一、现金流折现模型的完美逻辑:投资的本质

现金流折现模型(discounted cash flow model,DCF 模型)旨在通过将所有未来的现金流折成现值来求得资产内在价值,在逻辑上无可挑剔,是一个完美的思维框架。你想,啥叫投资,投资就是牺牲眼前现金流出作为代价来期待未来现金流入的行为。

不过,如今有一种滑头营销方法故意混淆投资与消费的两个概念,比如它不会推销你“买”一件貂皮大衣,而是鼓励你去“投资”一件貂皮大衣,你还感觉这种说法听着很暗爽。但这显然不是投资行为,因为袭貂衣未来又不能产生现金流,除非你买来就是为了做“倒爷”。

还有更过分地营销,诸如号召“为你的爱车投资四个某某牌轮胎”,这简直侮辱我们的智商,要么你是做租车生意或开滴滴的,不然我投四个胎的行为,横竖都仅仅是拿来轧马路消费罢了。所以这只是让你听着爽然后多个借口来消费而已,比如“投资” 一个LV,或“投资”一辆特斯拉等。

当然,也有些看似消费的行为确实可以归为投资,比如你买一块劳力士。如果放在保险柜里不去“耗”,在1957年你花150美元买的,到了2014年已经涨到7500美元;即使去除通货膨胀的影响,这块劳力士也从150美元涨到1265美元。

可以看出,你能收割下750%的通胀调整后投资收益,轻松跑赢黄金大约400%,要知道同一时期内标普500通胀调整后收益大概也只有900%。当然标普在其中还有无数涓涓的分红细流,这是仅有一笔未来现金流劳力士所远不能相提并论的。

可见,有时候不只是投资与投机不好区分,投资与消费也是傻傻分不清。但只要我们眼里一往情深地紧盯住“未来的现金流”,只要理解了未来如何能有充分确定性地收回现金流,一般而言就应该是投资行为。根据这个思路,我们就能看出现金流折现模型仅从逻辑上的靠谱性:它很理解投资的本质,绝不会把消费当做投资。

二、案例解读:我用巴菲特钟情的可口可乐做个现金流折现估值

可口可乐作为一家盈利的上市公司,每年给股东创造利润,带来只有现金流,那么在这个层面上,它和理财产品的本质是一样的,是一个赚钱的资产。那可口可乐创造的未来只有现金流是多少呢?

我们可以通过在网上获取财报数据,上面是可口可乐公司每月的现金流。是不是拿这个算就可以了呢?

要注意的是,现金流和利润不是一个概念,我们说的现金流折现模型里的“现金流”,其实指的是未来可供你支配的现金收入,其含义是这个资产给你带来的收益。

而上市公司的报表里的现金流是指财务意义上的现金流,而不是利润。存在现金流为正但利润为负,也存在利润为正,但现金流为负的情况,所以此现金流非彼现金流,千万不要望文生义。

那如何来算呢?要知道一家公司给股东带来的收益,摊到每股里的财务指标叫 EPS (earning per shares),这才是可口可乐公司作为一个资产给股东创造利润的一个适用于现金流折现模型店定量指标。

接下来让我们穿越回2015年年末,股票作为一个长期资产,要用长期利率去做现金流折现。最长期的收益率数据是30年国债收益,彼时30年国债的收益率(利息)是2.6%。

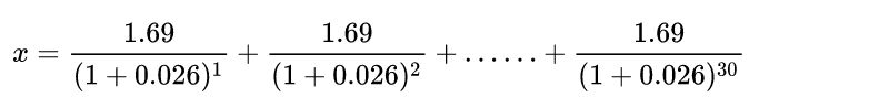
那么,我们套用公式计算一下未来现金流折现:

这里因为并不能预知未来每年赚多少钱,只能假定可口可乐作为一个稳定赚钱的公司,每年赚得差不离都能有这么多。

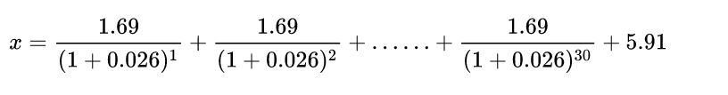
这个现金流折现的计算和大约是 34.905 左右。可这里还有个重要细节,我们这里未来现金流折现对应上面的例子,是未来3000元的利息收入,本金10万是没计算进去的。

可口可乐作为一家公司,它创造未来收入也不是凭空的,而是需要现在持有的资产来创造的。对应那个10万本金的是可口可乐这家公司目前的“本钱”:

折合每一股,公司账面上的净资产是 5.91美元,这包含了可口可乐的配方、品牌和设备等。所以,有了本钱和未来现金流,我们得到了:

这个式子前面部分已经算过是34.9,加上5.91,合计是40.81。

这就是当时可口可乐公司的价格,开盘36.56,收在36.75,按照我们的估算价值应该是40.81。那么二级市场的报价低于股票的内在价值,可以买买买,结果过了没几天后股价就涨到40.82。

那么问题来了:在可口可乐业绩没有大幅改善情况下,K线图后半部分为什么上涨那么多?一路涨到54.03,这里是不是就是高估了?该做空了?

且不急,这里有个经验知识:利率变低时,现金流折现价格会变高;利率走高时,现金流折现价格会变低。

我们且来看一下2016年开始,利率的变化如下:

可以看出,红色圆圈是2016年美国30年国债收益率的变化,一路走低。利率变低,资产的贴现价格就要走高,所以2016年后,可口可乐公司的股价不但涨到我们估算的40.81且一路上涨。

绿色圆圈里显示的是2016年年中后,利率一路走高,最高到 3.2%,对应的下半年可口可乐公司的股价表现:最低有跌到过 35.23。

所以,对于现金流折现模型来说,除了要估计未来资产的收益,市场的利率变化是一个很重要的因素,它在式子的所有分母里,到这里大家也就能理解美联储加息对于股市为什么有那么大地影响了。

三、这其实是一种通用的资产定价方式,不仅仅是用于企业的估值

最后不再说复杂的公式和定义,我们可以从日常的简单事情来思考:你去银行买了一个年利息为3%的理财产品,本金共10万,期限是一年。那么过了一年后,你的账户上会变成10.3万,如果没有违约的话。

过了半年,你突然急需用钱,你目下能把这个理财产品未来的收益转让给张三,问你能换来多少现金?这对于当下给你钱的张三,他有两个选择:

1、现在自己拿钱去买一个半年期的理财产品;

2、接盘你已经跑了半年的理财产品。

只有当两者的效果是一样时,这笔转让交易才是公允的。如果张三现在拿10万去买理财产品半年,获得收益是不足10.3万的,而你这个理财产品能半年后获得10.3万。所以张三这时需要更多的本金,才能靠买新的理财产品获得10.3万,而这个“更多的本金”就是公允价格。

换言之,如果你年初用10万买了这个理财产品,年中转让给张三急用钱,这时张三还是只给你10万的话,这虽然不是法外狂徒犯罪行为,那也是一种非常不厚道地占你便宜做法。

当然,因为张三获得最终收益不可能超过10.3万,你向张三“套现”出来10.3万或更多也是不可能的,除非张三有什么把柄在你手上。

综上,急用现钱的你,只能把未来的10.3万打折变现卖给张三在 10万―10.3万之间的一个值。这个也是未来自由现金流折现。当然你可以把折现这个词粗略地理解为“打折求变现”的一个缩语,再大白话一点:半途接盘价。

因此,这个方法适用于任何给你未来带来现金流的东西,不仅仅局限理财产品或债券,这里也可以是一家馒头铺、一家火锅店或者一家厂,但凡是能给你带来收益的都是可以的。

最后的话:现金流折现模型虽然广泛应用于金融市场的各种资产,包括衍生品等,但这个模型也不是万能的。

总之,如果换做是一个未来盈利非常不确定的,各家看法迥然相异的股票,那么估值出来的结果也会是天渊之别。更遑论是亏损的企业,彻底就没法用现金流折现模型来定价,但这并不意味着亏损的企业就一文不值。

所以,现金流折现模型作为思考资产定价的一个维度和切面,不要当万能工具用,最后用芒格的话来说就是:别手里有个锤子,看什么都是钉子。

风险及免责提示:以上内容仅代表作者的个人立场和观点,不代表华盛的任何立场,华盛亦无法证实上述内容的真实性、准确性和原创性。投资者在做出任何投资决定前,应结合自身情况,考虑投资产品的风险。必要时,请咨询专业投资顾问的意见。华盛不提供任何投资建议,对此亦不做任何承诺和保证。