简体
  • 简体中文
  • 繁体中文

热门资讯> 正文

马斯克皮卡的防弹玻璃为啥会被钢球砸碎?

2019-11-25 11:05

马斯克,硅谷钢铁侠,全世界最具煽动力的企业家。

旗下公司特斯拉最新电动皮卡,一经亮相就欢呼一片,传播到炸,看起来又要重新定义一个品类。

然而也有网友“提醒”——如今的马斯克和特斯拉,往往新品发布猛如虎,真到交付原地杵,交货时间和质量还得再观后效。

而且这次电动皮卡的故事,还讲到了火星上。

另外,这一次甚至都还没轮到交货“翻车”,现场演示就尴尬破功。

现场演示的过程中,号称能防弹的玻璃,并没有完美挡住助手甩出的钢球。

当场被来了个double kill。

现场一度非常尴尬。

这个场面也引起了广泛讨论,有人吐槽质量,也有人认为可能是失误。

但也有不少人认为,这是不是马斯克故意进行一场PR,为了更多的传播和销量而故意为之?

有人较真了。

来自美国路易斯安那东南大学的物理学副教授瑞德·阿兰(Rhett Allain),用物理学知识进行了分析,解释了马斯克为啥会翻车。

而且里面用到的基本上都是高中学的物理知识,整个过程就相当于解一道题。

不过在开始分析之前,还是先快速还原下现场~

马斯克翻车始末

北京时间周五中午,特斯拉皮卡发布,名为Cybertruck。

为了展示车窗防弹玻璃强悍的性能,马斯克大手一挥,让助理拿着钢球上场。

对准车窗砸过去,然后意想不到的一幕发生了,玻璃应声而碎。

尴尬……刚才测试的时候,不还是好好的吗?

在助手上场之前,马斯克还先进行了一些铺垫。

先是放上普通汽车玻璃,钢球落下,玻璃碎了。

然后换Cybertruck的玻璃测试,从更高的地方落下来都毫发无伤。

马斯克说,是不是用劲太大了?在他的示意下,钢球又砸向了后窗玻璃。

尽管力度已经减小了很多,但玻璃还是非常脆弱。

这……好吧,理解万岁!

马斯克随后也解释说,还好没有穿过去,看来交付之前还有很多的事情要做。

然后,他站在砸碎的车窗玻璃前,硬生生开完了整场发布会。

那为啥防弹玻璃能够经受住高处的自由落体,却被随手甩出的钢球砸烂了?

物理学分析:和安装方式有关

瑞德·阿兰决定用物理学知识揭开答案。

先来看一下垂直往下砸的情况。

虽然这位工作人员没说他到底爬了多高,但从视频中可以看到,球在管道末端出现,掉落到玻璃板上的时间大概是0.267秒。

粗略假设初速度为0,加速度为g=9.8m/s,根据公式:

这段距离就大概是0.35米。

工作人员放下钢球的高度大概是这段距离的10倍,那么球到玻璃板之间的距离就是3.5米。当然不精确,不过对这次分析而言也足够了。

知道了下落高度,根据v^2 = 2gh这个公式,就可以计算出钢球撞向玻璃板时的速度,约为8.3m/s

而市面上出售的棒球大小的钢球大概有1.9kg重,那么根据动量p = mv,就可以算出钢球冲击玻璃板时的动量为15.7kg·m/s

动能K则可以根据公式K =1/2*m*v^2计算,为65.5J

也就是说,特斯拉皮卡采用的玻璃板完全能承受住15.7kg·m/s的冲击。

那么接下来,我们就来看看“翻车”现场到底发生了什么。

首先需要进行一些必要的假设:

工作人员的投掷动作,让钢球从静止到达到最终速度时,移动了大约1米的距离。

球的加速度不变。

从视频中得到,钢球的运动时间约为0.27秒。

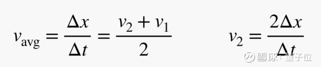
因为加速度不变,平均速度就等于初始速度和最终速度之和除以2,同时也等于总路程除以总时间。

于是就求出了“翻车”现场钢球砸向车窗玻璃的最终速度是7.4m/s,动量是14.1kg·m/s。小于从3.5米高度垂直下落测试中的15.7kg·m/s。

按照这个结果,车窗玻璃应该就像马斯克说的那样不会碎才对,那么是哪里出了问题?

可能是和安装方式有关。

在垂直下落测试中,玻璃板用夹具固定。这些夹具不是完全刚性的,也就是说在受到钢球撞击时,玻璃板的移动空间比较大。

Rhett Allain绘制

而在特斯拉皮卡上,玻璃板被牢牢固定在车门窗框里,位移空间比较小。

Rhett Allain绘制

假设在垂直下落测试中,玻璃被撞击时移动了1厘米,而“翻车”现场,玻璃仅移动了0.2厘米。那么根据公式:

在动能变化大致相同的情况下,固定在窗框中的玻璃承受的力,就5倍于垂直下落实验中玻璃承受的力。

于是,马斯克“翻车”了。

翻车引热议,但预定依旧喜人

“翻车”事件一出,有网友调侃道:一定是隔壁车厂派来捣乱的。

有人解释说,可能是发布前这个车进行了一轮测试,车窗玻璃已经受过一轮攻击了。

但也有不少网友指出,这也不算翻车,防弹玻璃本来就是这样的,不防碎裂而是防穿透。

发布会结束后,特斯拉的股价也受到了影响,当天下跌6%,市值缩水近40亿美元。

不仅仅是马斯克现场翻车,也是因为这辆车并不被分析师看好:皮卡核心是拉货能力,特斯拉的皮卡造型虽酷,但忘了“初心”。

但这些,似乎并没有影响用户的选择。

根据马斯克最新发表的推文,这辆被他称为未来火星官方用车Cybertruck,已经获得了14.6万个订单,其中17%选择单电机后轮驱动,42%选择双电机全轮驱动,41%选择三电机全轮驱动。

它们的续航距离分别为250英里、300英里和500英里,定价也分别为39900美元,49900美元和69900美元。

现在预订费用100刀。以此来算,马斯克已经拿下1400.6万美元收入,预期收入将达到82.3亿美元。

而且,这辆车还有全自动驾驶功能可供选择,但要加7000美元,所以马斯克到时候估计能赚更多。

最后,马斯克也在Twitter上找了场子,发了一个视频说,发布会前也进行了测试,但玻璃并没有碎。

从视频中展示中的情况来看,瑞德·阿兰的分析还是有点道理的,玻璃板的移动幅度明显很大。

你怎么看?

One more thing…

还有一个问题值得大家关注,这车在中国吃得开吗?

从大家对车型的反映中来看,还真会有不少人愿意掏钱买车。

但能够开进城吗?

要看国家规定了,在中国各地的政策并不一样。许多城市都要求,如果皮卡进城要采取贴反光条等措施。

在河北等地,现在政策逐渐放宽了进城限制。在北京这样的一线城市,皮卡则有更严格的限行措施。

就算你有京牌,也只能在23:00-6:00之间进入城区,其他时间都不能驶入北京五环。

但按照规定,从2018年起,北京的皮卡车将享受和乘用车同样的待遇,车身上也不用贴反光条和车门喷漆标识。

更为关键的是,现在皮卡不用摇号就能上京牌,也成了很多人的折中选择,并带动了销量:

有调查数据显示,北京皮卡在2019年的累计销量同比增长了452.8%。

但是,就算你喜欢特斯拉的皮卡,估计还要等几年。

官方预定页面显示,Cybertruck在2021年底开始生产,最贵的三电机全驱车型,到2022年底才开始生产。

按照马斯克经常重新定义时间的习惯,到时候能不能交付恐怕没那么乐观……

 

风险及免责提示:以上内容仅代表作者的个人立场和观点,不代表华盛的任何立场,华盛亦无法证实上述内容的真实性、准确性和原创性。投资者在做出任何投资决定前,应结合自身情况,考虑投资产品的风险。必要时,请咨询专业投资顾问的意见。华盛不提供任何投资建议,对此亦不做任何承诺和保证。