简体
  • 简体中文
  • 繁体中文

热门资讯> 正文

信达(01359)75亿卖幸福人寿过半股权,传接盘方要成为中长期投资者

2019-10-14 07:34

本文来自“南方都市报”,作者为梁小婵,原文标题为《信达75亿卖幸福人寿过半股权,太贵?4400职工何去何从?》,文章内容不代表智通财经观点。

幸福人寿股权的控股股东将发生变动。

南都记者从上海联合产权交易所获悉,中国信达资产管理股份有限公司(以下简称“信达资产”)(01359)拟转让所持有的全部幸福人寿股权,所涉股权达51.7亿股,占幸福人寿总股份过半。

挂牌底价是否较高?南都记者统计获悉,以3月31日作为基准日所作出评估来看,拟转让的股份评估价值近70亿元,增值率为141%,较此前部分险企100%的增值率要高。此次股权转让底价为75亿元,已较评估价值溢价近8%。

南都记者还注意到,此次挂牌公告时间为10月14日至11月8日,为期20日。其中,管理层不参与受让意向,但部分原由股东未放弃优先购买权。

评估增值率达超140%,出让底价较评估价值溢价8%

事实上,今年6月,信达资产已公告出清所有的幸福人寿股权。市场对这笔出售已有预期,而挂牌底价则是焦点。

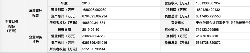
这家于2007年成立的寿险公司,最近几年的盈利状况不如预期。南都记者从年度审计报告获悉,2018年,幸福人寿营业收入超百亿元, 但营业亏损近69亿元,录得净亏损68亿元。彼时所有者权益为47亿元。

截至今年6月30日,幸福人寿的营收为72亿元,营业亏损超20亿元,录得净亏损20亿元。彼时所有者权益为51.5亿元。

南都记者查阅获悉,根据北京天健兴业资产评估有限公司出具的资产评估情况显示,以今年3月31日作为评估基准日,幸福人寿的总资产账面价值约为651亿元,总负债的账面价值为594亿元。截至评估基准日,幸福人寿净资产账面价值为56.6亿元。经评估,幸福人寿股东的全部权益价值为136.6亿元。

南都记者统计获悉,这意味着评估增值80亿元,增值率为141%。评估后每股价值为1.35元。根据信达资产持有的51.7亿股而言,其评估价值为69.7亿元。而本次挂牌75亿元,较评估价值增长近8%。

出现新控股股东概率大?部分股东未放弃优先购买权

值得关注的是,信达目前是幸福人寿单一最大股东和控股股东,持股近51%。第二大股东为三胞集团,持股为14.182%。


从目前挂牌的情况来看,信达资产将接受单一主体受让和联合体受让。其中,采用组成联合体方式受让的,联合体成员最多不得超过3名,并且应至少包括一名战略类(指拟受让幸福人寿15%分,但不足三分之一股份的意向受让方)以上的意向受让方。

这意味着,无论是单一主体受让或联合体受让, 接盘方(或接盘方之一)的持股将超过现有的三胞集团。

理论上看,出现新的单一大股东概率不小。不过,现有的部分股东方依然有接盘的可能性。南都记者注意到,根据披露信息,信达资产已向幸福人寿的其他股东发送关于股份转让以及征询是否行使优先购买权的书面通知,截至目前,部分其他股东未明确表示是否放弃优先购买权。

传闻中的买主来自深圳?接盘方要成为中长期投资者

事实上,信达资产对此次的股权转让还包括了对幸福人寿职工有继续聘用要求等多项交易条件。

尤为值得注意的是,信达资产还设置了存续发展方面的交易条件。南都记者获悉,在本次产权交易完成后,幸福人寿的股权受让方将在相关法律、法规、政策及监管机构允许范围内,作为中长期投资者持有幸福人寿,保持幸福人寿企业经营管理团队和职工的基本稳定,建立市场化激励约束机制,与幸福人寿的其他股东共同推动幸福人寿的发展。

从保险业股权转让来看,信达资产所提出的交易条件较为全面且较为罕见。这对接盘方的要求颇高。

根据目前市场流传和媒体报道信息显示,已有资本巨头、互联网巨头和地产巨头等关注幸福人寿的股权转让,而招商局和深圳投控亦是潜在的买家之一。


风险及免责提示:以上内容仅代表作者的个人立场和观点,不代表华盛的任何立场,华盛亦无法证实上述内容的真实性、准确性和原创性。投资者在做出任何投资决定前,应结合自身情况,考虑投资产品的风险。必要时,请咨询专业投资顾问的意见。华盛不提供任何投资建议,对此亦不做任何承诺和保证。