热门资讯> 正文
2019-03-28 19:57
来源:点拾投资
文|点拾投资朱昂
导读:关于巴菲特,我曾经有一个困惑,他是必然的产物还是偶然因素?作为全球最大的资本市场,又拥有最长期的牛市,如果不出巴菲特是不是也会出其他人?投资中一定有运气因素,巴菲特到底是不是抛硬币大赛冠军呢?
在做了很多研究后,巴菲特的成功是必然。他坚持了一种超额收益最大的策略:长期策略!包括对于公司长期内在价值的判断,包括他拥有极低的资金成本来加杠杆,包括他建立的声誉。长期的交易不是那么拥挤,短期的交易是极度拥挤的。
恰巧我们最近看到了一篇来自三位AQR大神的报告,通过数学语言将巴菲特的能力圈进行分解。通过研究发现,巴菲特获得了巨大的超额收益。超额收益来源就是买入低波动率和弹性,低估值以及高质量的股票。巴菲特永远不会去追热门股,也不会买垃圾股。最后通过1.7倍的杠杆将其长期收益率放大。以下是这篇报告的精华内容,加入了一些自己的理解,希望给大家带来帮助!
巴菲特很优秀,但不是神
很快,一年一度的巴菲特股东大会就要召开了。关于巴菲特的成功,有大量的文献和访谈。他告诉我们一个真理:价值投资的长期有效性。曾经有人对巴菲特的成功提出过争议,认为巴菲特只不过是那个“抛硬币大赛冠军”的幸运儿。在美国这么大的资本市场里,一定会有人成功。没有巴菲特,也会有别人。但是我们不得不承认,许多来自“格雷厄姆村庄”的投资者,都在股市中获得了成功。
从因子分解的角度看,巴菲特的伯克希尔哈撒韦取得了0.79的夏普比例,对于市场取得了巨大的超额收益。巴菲特的成功中,不能用运气来解释。
巴菲特的收益率有多高呢?如果在1976年10月投入1块钱在伯克希尔哈撒韦,到了2017年3月会变成3685美元。在这一段时期,伯克希尔对比美国国债取得的超额年化收益率18.6%(我们可以把美国国债理解为无风险收益率),相比之下股票平均的超额回报率7.5%。
更高的回报当然需要承担更高风险,伯克希尔的波动率23.5%,比市场平均15.3%的波动率要高。但是风险调整以后的收益率,巴菲特达到了0.79夏普比例,比市场平均的夏普比例高了1.6倍。伯克希尔的市场Beta只有0.69。当然,巴菲特也有亏钱的时候,最著名的一个阶段是1998年6月到2000年2月,当时伯克希尔下跌了44%,而股市上涨了32%。巴菲特严重跑输了76%。如果是其他人,早就被客户赎回光了。但是巴菲特有着强大的声誉,让他能Stay In The Game!
巴菲特到底有多优秀?下面那巴菲特的伯克希尔哈撒韦和共同基金以及个股进行比较,我们在10年,30年以及40年的维度看,巴菲特都是惊人的优秀。如果我们能够回到过去,选择一个股票,那个股票必须是伯克希尔哈撒韦。巴菲特和所有公募基金相比,排在前3%,和所有股票相比,排在前7%。巴菲特的夏普比例,和拥有40年历史的共同基金相比,排名第一。

我们再看下面这张图,巴菲特和所有40年以上公募基金的夏普比例做对比,我们看到巴菲特远远超出其他人一大截,显示了惊人的Alpha能力。从组合优化的角度出发,将投入在市场中72%的钱买入伯克希尔哈撒韦,会带来最优化的夏普比例。

巴菲特的低成本杠杆
我们曾经在《投资大师私房课》中,深度讲解了巴菲特的保险公司模式,给巴菲特带来了几乎零成本的杠杆资金。在这份报告里面,通过数学的语言来看巴菲特的低成本杠杆。杠杆率等于重资产减去现金,然后除以股权价值。从中可以得到,巴菲特的杠杆率在1.7倍。杠杆率也解释了伯克希尔的高波动率。

巴菲特的杠杆率,解释了他收益率的一部分,但不是全部。这一点我们曾经在此前对于巴菲特的分析中解释过。他真实的超额收益,会比看上去的要低一些,因为他用上了1.7倍的杠杆率。保险公司的商业模式,给伯克希尔哈撒韦投资带来了巨大便利性。巴菲特可以从浮存金中获取极低成本的借款。我们看到巴菲特来自保险公司浮存金的平均“资金成本”是1.72%,这是惊人的低,比美国国债收益率都低了3个点。也就是说,巴菲特的信用成本,比美国政府还要低了!通过观察巴菲特的年报,估计巴菲特的负债中有35%来自保险公司浮存金。

投资,你的负债端往往决定了你的资产端。你的资金性质会极大影响你的投资策略。
公开股票和私有公司
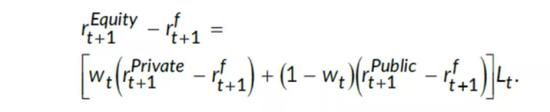
巴菲特的持股可以分解为公开市场股票和私有的公司。公开市场股票可以看做是巴菲特的选股能力,私有公司看做是巴菲特作为管理者的能力。
首先,要掌握巴菲特投资的私有企业价值变化。这里可以把巴菲特投资的总市值,减去财报披露的公共股票市值,再减去巴菲特持有的现金价值,就能算出巴菲特持有的私有企业价值。

然后通过巴菲特持仓总市值变化,减去公共股票和现金部分变化,来了解其私有企业的投资收益率,并且通过下面的公式,将无风险收益率放进去,来计算其投资回报的超额收益率。

通过大量计算,我们发现在1980到2017年自己,持仓中有65%是私有公司,剩下的35%是公开股票。伯克希尔哈撒韦在持有企业的持仓比例,从1980年的20%不到,上升到了2017年的78%以上。从收益率分解的角度看,巴菲特持有的股票表现比持有的私有公司要更好,说明巴菲特是一个选股选手,并非是一个更好的管理者。
巴菲特的投资风格:喜欢什么类型股票?
我们知道巴菲特的超额收益来自两块,优秀的选股能力和杠杆。那么巴菲特如何选择公司,他喜欢什么类型的公司呢?这里再把巴菲特做一个归因:

这里就是把巴菲特各类超额收益中的风格因子进行剥削出来。比如MKT,就是对应股票市场的超额回报。SMB就是市值因子(小市值减去大市值),HML就是价值成长因子(高市净率减去低市净率),UMD是动能因子,BAB是下注的弹性,QMJ是质量减去垃圾。
为了最精准的测算,此次省略1000字,关于如何把巴菲特的投资收益进行归因。。。。

好了,公布结果了。巴菲特喜欢的股票有几个典型的特征:1)低弹性和低波动率;2)估值便宜(低市净率);3)高质量(盈利能力,规模,成长性,分红率)。有意思的是,具有这些特征的股票,长期表现都很好。
巴菲特的夏普比例很优秀,但还没有达到惊人的水平。他是怎么成为全世界最富有的人?秘密就是他买的这批股票特征,能长期穿越周期,而且巴菲特的杠杆成本很低,不会有任何需要被迫清仓的问题。巴菲特长期坚守这个选股方法,没有任何的漂移。
巴菲特曾经在1994年的年报中说过:格雷厄姆在45年前教会我,投资不需要做超人的事情,就能取得超人的结果。
安全的杠杆,加在安全边际高的股票资产,放大其收益率。最后,加上超过55年投资业绩的时间杠杆,长期坚持正确的方法,巴菲特的成功完全不是运气。
巴菲特也用一生的践行,证明了价值投资的长期可行性和有效性。或许对于我们所有人来说,都值得去深度思考。